|

彭燕郊晚年照
内容提要
时至今日,现代作家笔名研究已经积累了丰厚的成果,笔名发掘还具有较大空间的,在于那些文学史上非知名的、个人文献尚未被有效规整的作家,彭燕郊(原名陈德矩)即是一位。结合作者自述的线索,细致勘察各类文献,可获知彭燕郊的20多个笔名,其中在三个具有人生转折意味的时间点、在《东南日报》《文化新闻》《光明日报》三种报刊上,笔名的使用尤为频密,其间浮现着彭燕郊艰难的、别样的个人史。放诸现代文学界,笔名如此繁复的情形当不多见。而检视相关路径,围绕彭燕郊笔名所展开的一些尚未被充分注目的斑斓风景,提示了作家笔名发掘可能存在的空间,同时也彰显了相关工作的困局。在现代作家笔名研究继续推进的过程中,这是不得不面对的现实。
关 键 词
笔名 彭燕郊 文学风景 研究空间
小 引
现代作家笔名的收集与规整是一项艰巨的工作。新时期之初,现代文学研究界即开始全面实施资料重建工程,笔名也是重要的一项,有《中国现代作家笔名索引》(健戎、跃华,1980)、《五四以来历史人物笔名别名录》(张静如、姜华宣,1986)、《中国现代作家笔名索引》(苗士心,1986)、《中国现代文坛笔名录》(曾健戎、刘耀华,1986)、《中国作家笔名探源》(丁国成、于丛、于胜,1986)这类着眼于现代人物、规模宏大的著作。更重要的著作则当属列入“中国现代文学史资料汇编(丙种)”,由徐迺翔、钦鸿编写的《中国现代文学作者笔名录》(1988),收录6000余位作者的3万余个笔名,被誉为“用笔名形式勾画出来的一部中国现代文学全史”。[1]与此同时,对于现代重要作家笔名的专题探索亦多有出现,著作即有《鲁迅笔名索解》(高信,1980)、《鲁迅笔名探索》(李允经,1980)等。新时期初期,现代文学研究重新起步阶段的这些基础性工作奠定了现代作家笔名及相关研究的基本格局,为研究者提供了重要的指引。

徐迺翔、钦鸿编:《中国现代文学作者笔名录》,湖南文艺出版社1988年版
纵观近年来的现代作家笔名研究,新成果还是时有出现,譬如,通过新披露的穆旦诗歌手稿而找到当年另署笔名(莫扎)和诗题的发表版本[2],通过新发现的冯雪峰手稿(笔迹)而确认其新笔名“何仲”[3],通过《晨报》材料和对沈从文作品的研究,探讨沈从文的初刊文及最初笔名[4],等等。围绕知名作家的这些别有意味的发现,显示了作家笔名研究的魅力,同时,持续的深入、新文献的发掘等因素也内蕴着新的态势,表征着笔名研究的新空间。但总体来看,知名作家的笔名相关工作已进入尾声,笔名发掘与研究还具有较大空间的——更或者说,尚未围绕其笔名展开充分研究的,在于那些文学史上非知名的、个人文献尚未被有效规整的作家,诗人彭燕郊(1920—2008)即是一位。诗人原名陈德矩,以笔名“彭燕郊”行世,同时,也还有相当多其他的笔名。其自述曾提到几种,不过相关信息多有缺失,且有含混之处,这意味着其间所蕴含的文学风景以及个人意绪,尚未得到有效的呈现。
一 彭燕郊关于笔名的若干自我描述
在笔名研究时,尽可能搜罗作者本人的相关自述,自是题内应有之义。在不同的时期,彭燕郊都曾谈到自己使用笔名的情况,目前所能看到的最早的自述是1983年12月1日回复“中国现代文学史资料汇编”编委会的信,并填写的笔名卡。新时期之初,信息收集渠道有限,徐迺翔等人当时的一种重要工作方式是“广泛发函直接向作者本人或其家属等调查核实”,“先后发出调查信函四千余件”,收回“复函材料二千六百余件”。[5]彭燕郊在被询问之列,在复信中,他建议编委会“注意一下诗人辛劳”,“长诗《捧血者》是新诗中少见的佳作之一”,而自己的信息则填写在“笔名卡”上。今人或已不熟悉这种为收集信息而专门制作的卡片样式——不熟悉在信息尚不完备的时代,前辈学人煞费苦心、广泛征求的文献工作方式。“笔名卡”正上方有“中国社会科学院文学所”字样,条目有“通用名”“籍贯”“民族”“出生日期(或生卒日期)(阳历)”“原名”“字”“号”“曾用名”“笔名”等,“笔名”之后另有提示:“(并能注明笔名使用的时间、报刊、作品等情况)。”
所见“笔名卡”,“字”“号”“曾用名”三处空缺,“通用名”处填“彭燕郊”,“笔名”处填有“陈漾、田焰、陈思勤(使用于1949—1950年在《光明日报》工作时)”,但没有具体的情况说明。日后出版的《中国现代文学作者笔名录》一书,标注了笔名“彭燕郊”的一处使用情况,其他的则只是抄录了彭燕郊本人所提供的信息。
再往下,在收到研究者寄来的“抗战时期桂林文化名人笔名调查整理初稿”之后,彭燕郊也复信告知自己以及邵荃麟、曹伯韩等人的笔名情况,表示自己没有用过“绍清”这个笔名,曾用笔名有“陈漾”“萧朋”[6],相关信息随后收入《抗战时期旅桂文化人笔名(化名、艺名)辑录》。[7]
上述两次文字篇幅都很小,所涉笔名有限,更多的信息见于《我的笔名》一文。[8]其中谈及“刚满十八岁的时候,第一次投稿用‘彭燕郊’这个署名”——此即位列《七月》第4集第3期头条的《战斗的江南季节(诗集)》,其时为1939年10月,彭燕郊尚在新四军。其回忆称,投稿后“心里总有些不太踏实”,得知要发表之后,“想换个署名‘彭作涛’,胡先生回信说已经付印,来不及改了,还说名字不过是个符号,不改算了。就这样一直沿用到现在,原有的本名倒很少用”。何以想取名“彭作涛”呢,是因为那个时候“非常崇拜革命家彭湃”。[9]

彭燕郊口述、易彬整理:《我不能不探索:彭燕郊晚年谈话录》,漓江出版社2014年版
“彭作涛”未见使用,更早的时候——因为不喜欢陈德矩这个“很传统”的名字而在十岁那年取的外号“蹇淹”,当时也未见使用。而据其回忆,在《七月》发表作品之前,还曾在新四军军报《抗敌报》创刊号(1938年5月)发表《春耕山歌》,也有《献旅的行列》《我们自己的队伍》等作品刊载于《抗敌》杂志(1939年11月、1940年5月)[10],而在更早的时候——在中学,彭燕郊还曾在校刊发表过一篇3000多字的、“模仿张天翼的”短篇小说《球球》[11],但囿于文献,相关原始报刊均未曾见得,署名情况——是否用过本名“陈德矩”——暂亦无从察知。
往下的情形,彭燕郊回忆道:“事实上常用笔名,是从一九四〇年初夏从军队转移到浙江金华时开始的,一时没能找到工作,只好卖文维持生活。那时,陈向平在编《东南日报》副刊《笔垒》,他是地下党员”,邵荃麟请他“照顾”,“在金华停留的那两个月”,在“笔垒”副刊发表了十几篇短文,用了李熟、紫堇、吴枝堇、冷唇等七八个笔名,“白色恐怖的政治环境下,不能不这样。有趣的是,还和诗人覃子豪作了一次小小的关于诗与时代的论争,各自连续一来一往写了六七篇短文”——“覃那时已是知名诗人”,而自己“那时是初生之犊不畏虎,冒冒失失的,他可能不知道和他争论的是什么人”。
这里关于《东南日报》有比较详细的描述,不过,彭燕郊此后没有再谈及具体的发表和署名情况,但表示“那些防特务找碴的文字就用各种化名,多到说不清楚”;又表示,“曾经用过的笔名中,‘陈思勤’、‘陈漾’、‘田焰’用得比较多”。而晚年写随笔类文字,“常用‘陈蹇夫’、‘蹇斋’这两个笔名”。
彭燕郊本人所述笔名使用情形大致即如此,其间有不少线索可供发掘,所勾描的一些细节也别有意味,可谓是生动的文学风景。不过,在由《中国现代文学作者笔名录》修订扩充而成的《中国现代文学作者笔名大辞典》(2022)中,笔名“彭燕郊”的使用情况有了更详细的说明,其他的则如旧:“田焰,陈漾,陈思勤,1949—1950在《光明日报》发表文章署用。”[12]可见,彭燕郊本人所述及的讯息尚未被全部采信。

钦鸿、徐迺翔、闻彬编:《中国现代文学作者笔名大辞典》,南开大学出版社2022年版
而实际上,彭燕郊的笔名远不止于此,被遗漏的笔名还大有存在,即便是在单个报刊密集使用笔名的情形也不仅仅是《东南日报》一处,后来的《文化新闻》《光明日报》也是如此,其中的繁复情形,实非三言两语所能道清。
二 《东南日报》上可确认的笔名和无从考订的状况
《东南日报》前身是杭州《民国日报》,1927年3月创刊于杭州,1934年6月改名。1937年全面抗战爆发,于11月迁金华继续出版;1942年5月金华沦陷,报社分两路,一路由胡健中率领迁至福建南平,1946年迁至上海;一路由刘湘女率领迁至浙江丽水,1945年下半年,杭州版《东南日报》复刊。[13]彭燕郊在金华版、南平版《东南日报》的“笔垒”副刊发表了较多作品,使用多种笔名的情形,见于金华时期(1940年中段),而在南平版发表作品时(1943—1944年),均署“彭燕郊”,早期的笔名未再出现。
1940年4月11日,“彭燕郊”首次在金华版《东南日报·笔垒》亮相。其时,彭燕郊尚未抵达金华,所发表的为集体稿,题作《〈十万大山〉推荐》,署“吴英年编剧,中心剧团演出,彭燕郊 雪邨 辛劳 麦青 骆宾基 葛琴 耳耶的集体意见 耳耶执笔”,耳耶即聂绀弩,演出机构为浙江省中心剧团。看起来,这应该并非彭燕郊本人所主导的发表行为。也即,不在前述彭燕郊回忆所称范围之内。
此后一段时间在金华版《东南日报》所发表的作品则均未署“彭燕郊”。作者晚年的解释是:先前在《七月》发表诗歌时被标注了“新四军”身份[14],因为这个缘故,大家都知道“彭燕郊”“是新四军出来的”。[15]而当时金华局势险恶,“作为消灭新四军的先期部署,蒋党开始在皖南、浙江地区进行政治扫荡,进步团体被封,进步人士被捕、被杀,金华这个东南文化中心已很难存在”[16]。若此,不用“彭燕郊”且使用多种笔名,乃是一种不得不使用的策略。
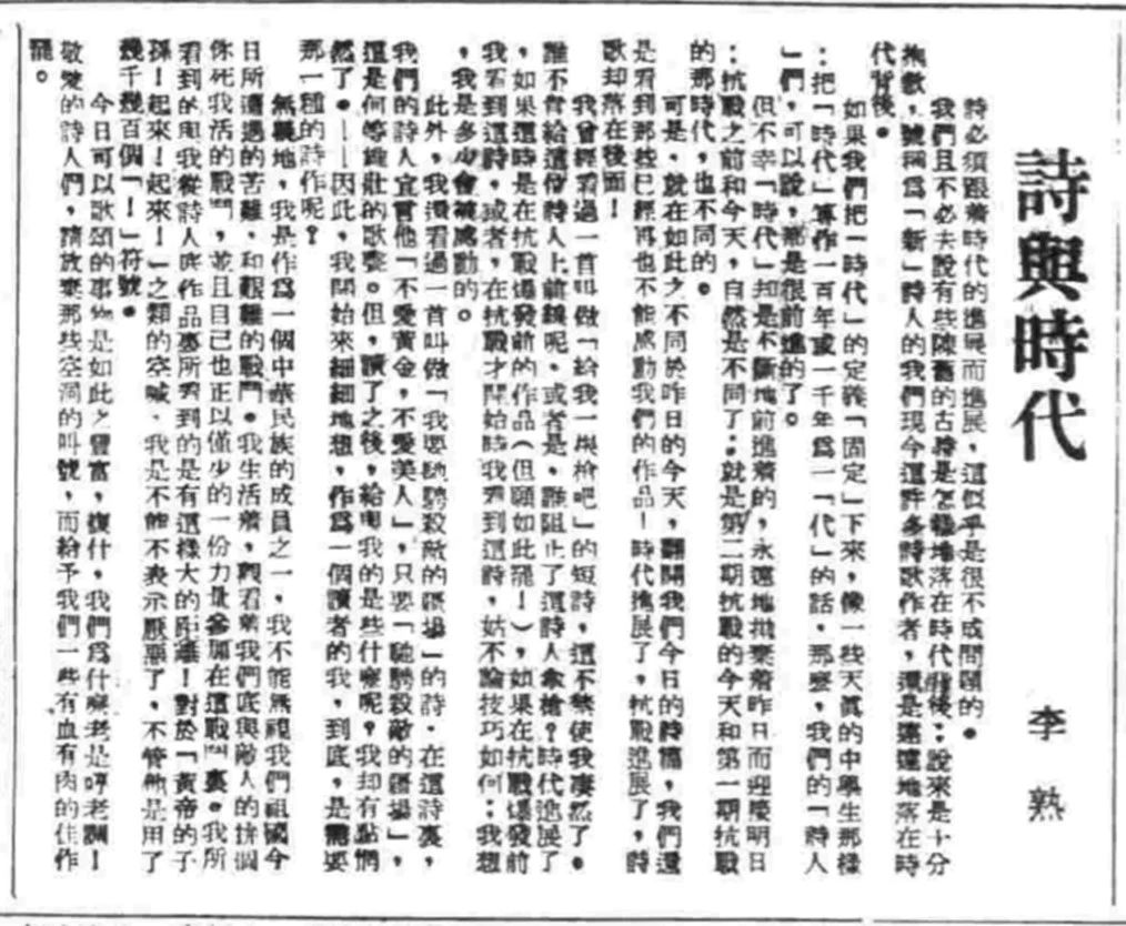
据其自述,首先可以确定的是6月11日的《诗与时代》、6月21日的《〈诗与时代〉的一解——答诗人覃子豪先生》(署李熟)和7月1日的《多读·多写·多看》(署冷唇)。署名李熟的文章,涉及与诗人覃子豪(1912—1963)的论争,当时的相关文章还有:6月17日,覃子豪的《诗与读者——请教〈诗与时代〉作者李熟先生》;6月27日,刘野的《谈〈诗与时代〉》;6月28日,何奏的《诗与“理解力”》;7月28日,覃子豪的《与何奏先生论诗与理解力(请参阅本刊第六四一、六四五、六五三各期)》。彭燕郊回忆称“各自连续一来一往写了六七篇短文”,上列文章中,何奏为“笔垒”副刊的编辑袁微子(1913—1991)的笔名,那么,“刘野”有可能为彭燕郊的笔名,但无法确证,而即便这样,也不足“六七篇”——或许,是彭燕郊将总数误记为“各自”数量。

《诗与时代》(署李熟),《东南日报》1940年6月11日
其次,彭燕郊提到“吴枝堇”,当时的《东南日报》未见此一署名,但有署名“吴枝楼”的两篇文章,为1940年5月19日的《为学与做人》和31日的《读书趣味》,两文与上述署名“李熟”“冷唇”的文章在同一时段,且内容与《多读·多写·多看》相近,因此,“吴枝堇”当是彭燕郊的误记。
最后,未见署名“紫堇”的文章,在彭燕郊所述时间范围之外——1940年12月2日有篇《散论批评》,署名“紫”,尽管就内容而言,此文与前述彭燕郊作品的一些文章(如《诗与时代》)相近,但无从进一步确定。
上述可以确认的文字均非诗歌,联系到彭燕郊表示当时用了“七八个笔名”且已经“发了狂样的”[17]写过许多诗的情状,而诗歌一直是《东南日报》较多刊发的文体类型,彭燕郊发表诗作的可能性很大。一开始的时候,因为《河埠——因病离开了队伍,修养着,在故乡》(1940年7月21日)一诗的存在,我倾向于认为“山鹰”也是其笔名,《东南日报》刊载其诗文不少,再者,《浙江妇女》等刊物也有署名“山鹰”的诗歌,这与彭燕郊当时的发表情况相吻合,但后来查到“山鹰”为浙江鄞县籍的烈士徐婴(1921—1944)的笔名,相关文章明确提到其在《东南日报》发表过“许多诗文”,且“被队员们誉为‘诗人’”[18],因此,不得不排除该推测,而勘察彭燕郊在《东南日报》发表诗歌之事也陷入僵局。
综合来看,彭燕郊在《东南日报》发表作品时所署笔名,目前能查证的只有三个,即李熟、冷唇和吴枝楼,文章共5篇,其他没有提到的笔名,估计已难一一查实。进一步看,目前能确认的笔名也还是为认识彭燕郊当时的境况提供了一些线索。晚年彭燕郊多次谈及离开新四军、到达当时的东南文化中心浙江金华的情形:“(1940)年初,肺病又发,经部里安排,到黄荆坞后方印刷厂休养,同时负责校对日文对敌宣传品。”又,“包围新四军司令部的国民党军队不断增加,蒋党即将有所动作。开始转移老弱病残”。“4月间随后方印刷厂迁回军部”,“蒋介石开始派重兵包围新四军司令部,部队开始疏散老弱人员”。[19]抵达金华的时间,前述关于笔名的自述中记为“一九四〇年初夏”,也有回忆称是1940年5月初。[20]细勘彭燕郊当时所发表的文字,“5月初”这一时间点应该更准确,且不晚于5月9日[21]。上述作品中,除了1940年4月的一篇集体文字外,其他的都是在5月之后,与此正相应。但目前所见有限,尚不足以印证“卖文维持生活”的情形。
不过,换个角度来看,笔名无法辨识、卖文为生的情境无从浮现等情形固然是历史之憾,但其间的人生历练含义还是值得看取——1940年上半年之于尚不足20周岁的彭燕郊而言,实可谓是一个“重新开始”的人生时刻:革命事业不得不终止(1938年初满腔热情地和几位同学一起从福建龙溪出发,辗转江西、安徽等地,加入新四军,如今拖着病体离开军队,来到文化区域),写作生涯才刚刚起步(距离在《七月》发表诗作只有半年,而即便算上军队报刊,也不过几次发表而已),与文坛交道有限(很可能是抵达金华之后才结识更多的文化人),笔名尚未真正确立(李熟、吴枝楼一类笔名看起来随意,且缺乏连续性),前途也茫茫未定(前辈友人此后各有去处,而自己只有先折回家乡,在草木风景[22]、如同凯绥·珂勒惠支画里的“崇高的”母亲[23]、“顽固的父亲”[24]之间闲居数月,再受邵荃麟召唤而奔赴文化城桂林)。基于此等状况,且不论所谓“卖文维持生活”的情形是否完全属实,它首先意味着这位尚且无名的年轻作者在尝试以不同的写作和姿态进入文坛,发表或呈纷乱之势,而前辈友人们在这一不无艰难的人生抉择时刻所给予的帮扶和引领无疑在更深的层面、在更长久的时段里影响着他的成长——日后,彭燕郊在回忆聂绀弩、辛劳、胡风、冯雪峰、邵荃麟等前辈时,无不注入了满怀的深情,其间实可谓是有着切实的生命体验与充沛的情感理路。
三 《文化新闻》上的繁复情形与相关联的版本问题
相较于《东南日报》,1945年2月至4月,彭燕郊在重庆《文化新闻》发表作品时,笔名的繁复程度未必甚之,但有更多写作得以查实——两个多月,至少发表12篇作品,所涉笔名有七个:彭燕郊、陈漾、萧朋、蓝馨、早霞、林朋、张兰馨。
第一次在《文化新闻》发表作品是1945年2月3日的《灯》(诗),署“彭燕郊”,此后则是署各种笔名。其中,有彭燕郊本人曾提到的“陈漾”“萧朋”,由此,可先确定3月3日的《橙花开放的地方》、4月7日的《卖灯芯草的人》(诗,均署陈漾)和4月14日的《泔水塘》(诗,署萧朋)——此诗后亦刊载于上海《宇宙》第1年第4期(1946年3月15日),署彭燕郊,可进一步确证。

《卖灯芯草的人》(署陈漾),《文化新闻》1945年4月7日
而上述《卖灯芯草的人》《泔水塘》这两首诗,以及2月17日的《一队小鸡》(诗,署蓝馨)、4月7日的《倾斜的原野》(诗,署早霞)、4月21日的《蛙鼓》(诗,署早霞),诗题和内容可直接对应彭燕郊在别处发表的作品,这样又可确定蓝馨、早霞为其笔名。依此顺推,2月10日的《遥远的雾》(诗,署早霞)、2月24日的《水》(诗,署蓝馨),也可确定为其作品。同时,4月21日的《傍晓》(诗,署林朋),与同月28日成都版《燕京新闻·副叶》第11卷第20期所载署名彭燕郊的《傍晚在废园外的路上所见》多有重合,时间切近,且前者为连续发表的阵地,而后者署的是常用笔名,故可确认“林朋”为其笔名。
诸种笔名之中,最值得注意的应该是“蓝馨”“张兰馨”,这来自彭燕郊妻子张兰馨(1927—2022,亦写作张兰欣)的名字。确认笔名“蓝馨”,首先是因为相关诗作直接对应于彭燕郊本人的作品,符合笔名认定的基本规则,但这背后还有一个悲伤的故事。1944年下半年,因战事逼近,桂林已无法安身,“处于大疏散(亦即大逃难)的混乱中”,彭燕郊一家三口不得不随众逃离,不想“被敌人冲散”,仅他孤身一人经柳州、独山、贵阳等地,抵达重庆,过了“一年的难民生活”,“由于搞到妻离女散”,“心情非常不好”,直到1945年10月重返广西。[25]在重庆期间,彭燕郊得到妻子的唯一消息,是“一别经年”之后,妻子托从沦陷区出来的青年音乐家沈音带来的一封信,告知她们逃难到偏僻的山区,女儿生了病,没钱医治,已病死。[26]初看之下,可能会让人觉得是彭燕郊将妻子的诗作拿出来发表,但更可能是借署妻子之名的方式来表达思念之情,并试图传递信息:
妻离女散,孤身一人,心情格外忧郁,挂虑,怀念,每星期写一封长信给在沦陷区的兰欣。虽然明知不容易寄到,还是寄,而且用挂号寄,到后来,抗战胜利回到荔浦,兰欣一下子收到一大捆滞留在桂、黔边邮局的信。很难安心下来读书写作。……没有固定收入,靠稿费维持最简单生活,还想积存一些钱,心里想也许能够送到兰欣手上。[27]
由于笔名“蓝馨”的存在,且这一年间与妻子失去联系,直接署妻子之名“张兰馨”的两首诗,4月7日的《可爱的伙铺的夜》和4月28日的《园囿》,诗题和诗风跟彭燕郊都非常近,也应该是出自彭燕郊之手,其间有着同样的署名意图和情感逻辑。
实际上,不仅仅是“蓝馨”“张兰馨”这两个名字,“早霞”也可能跟妻子相关——1947年7月底,被国民党广西政府逮捕入狱的彭燕郊,在桂林虞山庙监狱写下诗歌《给早霞》,“早霞”即他为妻子张兰欣所取的别名。由此可见,战乱时代之下,笔名也浮现着艰难的、别样的个人史。

1950年,彭燕郊与妻子在长沙
同时,相关篇目得以确认,很重要的一个因素就是诗歌本身可以对应于彭燕郊的作品,这应和了彭燕郊所谓“靠稿费维持最简单生活,还想积存一些钱”的说法,即重复发表,以换取一些微薄的稿费。而这些重复发表的篇章也触发了作品版本方面的问题。《傍晓》与《傍晚在废园外的路上所见》,几乎是同时发表,却有明显的版本差异,后者多出十余行;而《卖灯芯草的人》与日后《彭燕郊诗文集》所录最终修订稿相比,改动非常之大。有研究基于后者指出:彭燕郊早期诗“非常明显地体现出与文学史所强加给‘七月派’的那种单一的战斗的现实主义的总体风格的不相吻合。他早期诗作中的很大一部分,都可被列入新诗史上最好的作品之列”[28],但当时的发表本很难支撑这一观点。这意味着相关命题还有待进一步的辩诘。[29]
放诸现代文学阶段,报刊主事者因为稿源不足等方面的原因,将自己的文字化名发表以充版面的情形并不稀见[30],彭燕郊从未谈及与《文化新闻》(1940年4月20日创刊)相关的情况,“彭燕郊在重庆”也未有过专题梳理,何以彭燕郊在该刊有如此多的发表,特别是何以要用这么多不同的笔名,暂时只能说是一个谜。

1944年,彭燕郊在重庆
四 《光明日报》上的更多发表与骤然中断
彭燕郊自陈“1949—1950年在《光明日报》工作时”使用过陈漾、田焰、陈思勤等笔名,这为查找提供了明确的线索,不过,实际的笔名使用情况要更多(见表1):


署“彭燕郊”“陈漾”“田焰”的作品分别为6、5、2篇,这是首先可以确认的。未见署“陈思勤”的作品,但署“思勤”的有3篇,相关联的几个栏目,民间文艺、诗歌方面的题材,亦可确认。署“蓝欣(辑)”“张兰馨”“早霞”的作品,分别有5、2、3篇,为诗歌、民间文艺方面的题材,参照此前在《文化新闻》发表作品时的笔名使用情况以及其妻子尚未到北京的事实,亦可确认为彭燕郊的作品。笔名“康栗”,虽然彭燕郊从未提及,此前也无相关线索,但署该名发表的《杂木林》《倾斜的原野》为先前诗歌的再次发表,亦可确认。

《光明日报·民间文艺》创刊号,内有彭燕郊署名早霞的《介绍〈唱十二月〉》和署名蓝欣的《民歌选》

《民歌与社会生活》(署田焰),《光明日报·文学》第27期,1950年2月12日
至于署“大圭”和“陈轭”的作品的确认,则得益于彭燕郊本人手写的一份作品目录。该目录所记为1938年至新中国成立初期的情形,共22页,对照目前所见彭燕郊作品的发表情况,有较多的遗漏,但也有部分暂未找到,而《光明日报》所载作品未全部列出,仅《欢乐的狂流》《最初的新中国的旗》《什么是力量?什么是最强的力量?》《音乐会三章》《孤灯独对,蒋廷黻心事重重》《歌唱王秀鸾》《克拉斯诺顿的英雄们》《大西南的解放》《列宁》在列,前七种可再次确证上述笔名,而后两种对应两个原本毫无线索的笔名,也即,若无这份目录,则“大圭”“陈轭”之名无从确认。
前两处报刊,彭燕郊的身份只是作者,而在《光明日报》,彭燕郊已是副刊的编辑者——至少编辑过“文学”、“工作与学习”和“民间文艺”这三个副刊,而目前被确认的发表达26次、28篇,可谓相当频繁,署不同的笔名,包括首次使用“田焰”、再次使用妻子的本名及相关名字,很可能是为了遮盖编者身份,避免引人注目。而实际的发表很可能还不止于此:上述三个副刊,多有署名“编者”的文字,正常而言,至少有一部分是出自彭燕郊之手;而纵观此一时期《光明日报》的上述栏目,有不少一眼可知是使用笔名的情形,如单名“狄”“晴”“华”“别”“江”“长”“V”“晋”“洛”等,常用俗称“老汉”“黑子”“木兰”“土豆”“下俚巴”等。但大概只有极少数能被查实,如“下俚巴”为巴波(原名曾祥祺,1916—1996)的另一个笔名,其间他还用过“田丁”等笔名。[31]巴波曾有文提及彭燕郊,自认是其进入《光明日报》的介绍人[32],两人或曾就笔名事有过商讨,不过,更多的情形暂时已无从查实。
就个人生命历程而言,新中国成立前后的北京生活时期是彭燕郊人生至关重要的一个阶段,1949年6月,彭燕郊由香港抵达北京,随后参加第一次文代会。其日后自述谈道:“文代会开了十多天,会后,为从新区和待解放区来的代表安排工作”,负责南方代表团代表工作事宜的冯乃超告知,可“随叶剑英去南方准备接受两广”,但“那时《光明日报》刚创刊”,胡愈之、萨空了约去编副刊,就留了下来。[33]在京期间,以“彭燕郊”之名,也在《文艺报》等处发表作品,如《桂林文协分会略记》(第11期,1949年7月14日)、《诗质与诗的语言》(第1卷第12期,1950年1月10日)等,但数量很有限,主要的阵地都是在1949年6月16日创刊的《光明日报》。
就内容而言,彭燕郊在《光明日报》所发表的作品主要是三类:学习笔记、诗歌和民间文艺类文字。学习笔记的撰写是当时的风向所在,诗歌自然是彭燕郊的诗人身份使然,当选为北京文联诗歌工作者联谊会候补理事,所发表的新作也获得不错的反响,被收录[34]或引述[35],显示了诗人彭燕郊在新中国首都受关注的程度;而在“民间文艺”方面所做的诸多工作,则显示了彭燕郊身份的新变。看起来,这一工作在抵达北京之后即开始,《几点意见》呼应了钟敬文在《光明日报》发表的关于民间文艺的重要性与急迫性的文章——实际上,此一工作很可能是源于钟敬文的激励,此前,钟敬文曾为彭燕郊散文诗集《浪子》(水平书店,1943年11月)作序[36],两人在北京期间,在“民间文艺”事业方面当是多有投合,视其为“胜业”[37],但彭燕郊在《光明日报》的发表至1950年5月初即骤然中断——至迟在5月下旬,写作力勃发、事业正向上发展之际,他却选择离开新中国的首都南下至此前几乎从未有过任何地理交集的湖南长沙,且从此定居于此。何以变动如此之大,其间有着怎样的人生故事,只能留待他文再叙。

1949年,彭燕郊在北京
五 其他的情形
上述笔名之中,有几个也曾在别处使用,同时,在其他场合,彭燕郊也还另有笔名。
(一)徐离夜
彭燕郊《我的笔名》提到新四军期间,跟辛劳聊天的时候,“想了个笔名,谐音朱丽叶的,‘徐离夜’”,但并未明确是否使用过该笔名。实际上,他应该不止一次用此名与人联系,1940年1月23日、3月11日,胡风日记即有复徐离夜的记载,日记整理注释称“徐离夜即彭燕郊”。[38]署名“徐离夜”的作品也有多篇,如《诗的真实性》(福州《现代青年》第3卷第1期,1940年11月20日),《春耕宣传鼓动》(永安《战时民众》第3卷第7期,1941年4月10日),《向连环图画发展》(《浙江日报·江风》第92期,1941年7月27日)、《视角的混乱》(《浙江日报·江风》第163期,1941年12月7日)等。诗论主题、熟悉的发表阵地(至少可从地域、报刊两方面来看)以及个人自陈的线索,可确认为彭燕郊的作品。《春耕宣传鼓动》后题作《春耕》,刊载于桂林《新道理》第39期(1942年3月16日),署“彭燕郊”,“徐离夜”为其笔名由此有了更确凿的证据。

左图:《春耕宣传鼓动》(署徐离夜),《战时民众》第3卷第7期,1941年4月10日
右图:《春耕》(署彭燕郊),《新道理》第39期,1942年3月16日
有意味的是,胡风当时写给彭燕郊的信,最初多称其为“德矩先生”,彭燕郊去信也曾署“陈德矩”,当时的友人如彭柏山也是以此名呼之[39];稍后,胡风又曾称其为“漾兄”(如1941年8月23日信)。前者是本名,后一称谓应该是跟笔名“陈漾”有关,可能是当时作品发表时曾署此名(但目前尚未察知),也可能是彭燕郊的去信如此落款。如此一来,1939—1941年——或可称为“彭燕郊”之名尚未完全确立的时刻,“陈德矩”“彭燕郊”“徐离夜”“陈漾”都被用来联系,其间有某种姓名游戏的意味,如晚年回忆所称,“取笔名实在是很有趣的事,年青时很爱玩这个,只为了好玩”。[40]顺着这个视角来看,较早时,署“李熟”“吴枝楼”等普通的名字在《东南日报》发表作品,而后来在《文化新闻》《光明日报》等处,“陈漾”“林朋”等看起来似无深意的名字仍多有出现,可见其间除了彭燕郊所称严峻的语境之外,也很可能包含了某种轻松、“好玩”的意味。
(二)冷唇、吴枝楼
署名吴枝楼的《为学与做人》、署名冷唇的《多读·多写·多看》,在《东南日报》刊出之后,也曾先后刊载于《福建民报》,前者为1940年6月17日、19日,后者在1940年7月26日,均为重复发表,可确认。
(三)韦劬、韦化
也是在前述彭燕郊本人整理的作品目录中,有《十门殿》《红匾额》刊载于麦青编《新道理》的记载,未标期数,经查,为1941年9月1日和10月1日出版的第28期、第30期(半月刊),分署韦劬、韦化。彭燕郊的回忆文多次提及麦青,且前述《春耕》刊载于《新道理》第39期,故这两个笔名也可以确认——其中,“韦劬”仅用了一次,署“韦化”的作品则还有1941年11月16日的《新道理》第33期所载《酒筵》(小说)。
(四)燕郊
目前所见,此一署名共出现9次。首次使用是1940年12月17日《大江日报·纵横》(江西吉安)发表诗歌《政治指导员》,之后的一些情形则有1944年1月20日《时代中国》(江西赣县)第9卷第1期的《我们的乡土——长诗〈妈妈·我·和我唱的歌〉中的两节》,1947年11月6日《社会日报》(南京)的《羽毛的舞蹈》(散文诗,后改题为《一根羽毛的媚舞》)。1940年代前期,江西各地的多种刊物刊发过彭燕郊的诗作,也有对长诗《妈妈·我·和我唱的歌》的评论(江西信丰《收获》[干报增刊之一]新33号,1944年2月17日),“燕郊”应该就是“彭燕郊”;而后两者,篇名都能对应于彭燕郊的作品,亦可确认。
可注意的是,“燕郊”“彭燕郊”这两个署名,不止一次同时出现在同一报纸相近的发表期内,如《西北文化日报·副刊》,1945年10月3日刊出《作为炮口的窗》(诗),署彭燕郊,次日又刊出《秋风落叶》(诗),署燕郊;《前进报》1947年1月1日的“前进”副刊刊出《誓》(诗),署彭燕郊;2月12日,“原上草”副刊又刊出《我回来了!我的乡土!》(诗),署燕郊。这般情形,是彭燕郊本人还是编辑的处理,已无从察知,但这显然为今日的读者确认彭燕郊的作品提供了便利。
(五)陈思勤
尽管彭燕郊明确提到在《光明日报》时期用过“陈思勤”的笔名,但目前仅见署“思勤”的作品,而“陈思勤”这个名字的出现已是1987年3月——彭燕郊在主编的《国际诗坛》第2辑上,署陈思勤发表《文化交流与中国新诗》一文。这个陌生的名字显然一度迷惑了身边的朋友[41],不过目前所见也仅有这一次。
(六)向工学
仅见一例,且为非正式出版物,只能算是特例。1978年国庆节前后,尚在长沙阀门厂工作的彭燕郊,作词《齐天乐——祝国庆二十九周年》,署“向工学”,手稿现有保存,其下阕为:“胸中波翻涛涌,满目旌旗举。扫清障碍,四匪就缚,余孽服罪。开辟以来,谁曾见此,长征壮举。显工农身手,劳动才智,胜利全凭,党中央指引。”彭燕郊少有旧体诗词的写作,不想在特定时代的特定场合得以见到,取名“向工学”,当是向工人学习之意。
(七)陈蹇夫、蹇斋
据彭燕郊自陈,两者是晚年“写随笔类文字”时所使用的笔名,相关文字或是发表在各类报纸副刊之上,目前暂无完整的数据,暂且悬置。彭燕郊的描述中有“回到十来岁时的‘蹇淹’,一个甲子的循环,很耐人寻味”之语,且表示“蹇”字的含义是“跛脚,踽踽独行。因为只一只脚管用,白居易诗:‘山鬼跳踉唯一足’,《九歌》里的山鬼,有仙气”,而自己不过一介凡人,“文弱不堪,用一只脚跛来跛去,虽也吃力,可倒有点悠着点的味道,几十年了,总舍不得丢掉这个‘蹇’字”。[42]若此,此一笔名也就包含了特别的人生况味。

彭燕郊签名
余 论
综合视之,在“彭燕郊”这一笔名之外,另有李熟、冷唇、吴枝楼、徐离夜、燕郊、蓝馨、早霞、陈漾、萧朋、林朋、张兰馨、思勤、蓝欣、田焰、向工学、陈思勤、陈蹇夫、蹇斋等笔名(大致以时间为序),总量近20种,实可谓壮观;而所涉相关文章,大多失收于各类彭燕郊诗文集,有着显在的辑佚效应,能为日后的多卷本文集或全集的编纂提供文献支撑。
以笔名搜索、确认的角度视之,上述部分笔名,若无作者本人自述,亦可通过相关线索查实——只是难度要大得多,而自述显然提供了诸多便利,但李熟、冷唇、吴枝楼、田焰等笔名,若不见于自述,极有可能无从识别。事实上,观其自述,内容还是比较有限的,所谈及的《东南日报》,信息有误,且根据线索能够查实的可能比实际的要少得多——因所述语焉不详,至少有四五个笔名无从查实;明确提到的“萧朋”、不止一次表示“用得比较多”的“陈思勤”,目前均仅见一次。斯人已逝,那些已被提及的笔名尚有再次被发现的机会,而那些没有谈及也没有被前述细致梳爬而触动的笔名与写作,或终将化名为他人,湮息于茫茫的报刊书海。
放诸现代文学界,笔名如此繁复的情形当不多见,而检视相关路径,有因作者自述或其他线索而得以确认的,也有因无线索而终至湮没无闻的,这大抵也即笔名研究的常态——研究者自然是希望循着或明或暗的线索深入下去,但即便是在笔名研究工作已经基本定型的今日,翻阅现代报刊和书籍,依然可以看到大量各式各样的笔名(化名)抑或是因其声望过于微薄而终至失察的无名者——因其失名或无名,终至成为文学研究与相关叙述无从照亮的区域。就此而言,围绕彭燕郊笔名所展现的一些尚未被充分注目的斑斓风景,提示了作家笔名发掘可能存在的空间,但同时也可说是彰显了相关工作的困局——在现代作家笔名研究继续推进的过程中,这是不得不面对的现实。
[说明:根据手写目录,初步查到彭燕郊1947—1949年在桂林版《广西日报》发表的一批作品使用了化名,计有林埃、石晶、平明、平青、庄寞、摩宁印麦(莫光典)、卢意、卢奥、林凡、沈络、史道等,因掌握的文献还有限,一时之间来不及行文,特此说明。]
易彬
中南大学中文系
410012
(本文刊于《中国现代文学研究丛刊》2024年第8期)
注 释
[1]贾植芳:《〈中国现代文学作者笔名录〉序》,徐迺翔、钦鸿编《中国现代文学作者笔名录》,湖南文艺出版社1988年版,第3页。
[2]杨新宇:《〈穆旦诗编年汇校〉的意义——兼谈新发现的穆旦笔名》,《书屋》2021年第10期。
[3]黄莹:《新发现的冯雪峰笔名“何仲”及佚文》,《现代中文学刊》2022年第5期。
[4]相关讨论引发了论争,参见罗帅《沈从文初刊文及最初笔名新探》,《现代中文学刊》2022年第5期;程桂婷、曾莉雯《沈从文处女作与第一个笔名重考——兼与罗帅、田丰商榷》,《中国现代文学研究丛刊》2024年第1期。
[5]编者:《编后记》,徐迺翔、钦鸿编《中国现代文学作者笔名录》,第1021~1022页。
[6]见2001年2月27日彭燕郊致魏华龄的信,该信后随魏华龄的《抗战文化研究书信往来中的情缘和友谊》一文(《抗战文化研究·第3辑》,2010)刊出。
[7]魏华龄:《桂林抗战文化综论》,广西人民出版社2014年版,第290页。
[8]除说明外,本段如下所引均据彭燕郊《我的笔名》,董宁文主编《我的笔名》,岳麓书社2007年版,第139~141页。
[9]彭燕郊口述、易彬整理:《我不能不探索:彭燕郊晚年谈话录》,漓江出版社2014年版,第2页。
[10]暂未见原刊,据彭燕郊手写的个人作品目录,该目录后文将谈及。
[11]在前述《彭燕郊自撰年谱二种》中,彭燕郊曾谈及这个作品;相关信息亦见于林金松《四海为家的诗人——彭燕郊印象》,《湄州日报》1999年11月12日。
[12]钦鸿、徐迺翔、闻彬编:《中国现代文学作者笔名大辞典》,南开大学出版社2022年版,第493页。
[13]郭子韶:《〈东南日报〉简述》,浙江省政协文史资料委员会编《浙江文史集粹》,浙江人民出版社1996年版,第154~160页。
[14]1939年10月,包括《冬日》《雪天》《夜歌》《怀厦门》在内的4首诗,总题为《战斗的江南季节(诗集)》刊载于《七月》第4集第3期的头条位置。胡风在编辑手记《这一期》中写道:“彭燕郊——据来信,先是在新四军服务团,后来转到同军的敌军工作部,最近因为肺病进医院休养了。”
[15]彭燕郊口述、易彬整理:《我不能不探索:彭燕郊晚年谈话录》,第39~40页。
[16]彭燕郊:《彭燕郊自撰年谱二种》,见陈思和、王德威主编《史料与阐释(贰零壹壹卷合刊本)》,复旦大学出版社2013年版,第389页。
[17]语出胡风为《七月》第4集第3期所写编辑手记《这一期》。
[18]严伟祥:《山鹰永远翱翔在人民心中——徐婴烈士》,宁波市鄞州区新四军研究会编《四明魂——鄞西敌后抗日斗争故事》,漓江出版社2005年版,第32页。
[19]彭燕郊:《彭燕郊自撰年谱二种》,见陈思和、王德威主编《史料与阐释(贰零壹壹卷合刊本)》,第383页。
[20]彭燕郊:《回忆胡风先生》,《新文学史料》2002年第4期。
[21]1940年5月20日至6月4日,彭燕郊的“小诗”集《挣扎抄——病院生活小唱——》连载于桂林《力报·新垦地》,其“前记”的落款信息为“四〇年五月九日于金华”。
[22]《家乡七草》《村里散文抄》等散文诗,即作于此一时期。
[23]后有长诗《妈妈,我,和我唱的歌》,诗站社1943年11月。
[24]语出彭燕郊《荃麟——共产主义圣徒》,《新文学史料》1997年第2期。
[25]彭燕郊:《彭燕郊自撰年谱二种》,见陈思和、王德威主编《史料与阐释(贰零壹壹卷合刊本)》,第384~385页。
[26]从妻子来信开头第一句“一别经年”来看,消息传来已经是1945年之后的事情,见彭燕郊《荃麟——共产主义圣徒》,《新文学史料》1997年第2期。
[27]彭燕郊:《彭燕郊自撰年谱二种》,见陈思和、王德威主编《史料与阐释(贰零壹壹卷合刊本)》,第385页。
[28]陈太胜:《幻视的能力:彭燕郊的早期诗作》,《诗探索·理论卷》2008年第1辑。
[29]参见冯昕《彭燕郊早期诗歌创作实践研究》,中央民族大学硕士学位论文,2022年,第34~35页。
[30]比如,唐湜(原名唐扬和)在主持《华美晚报》副刊“新写作”期间(1948年7月26日创刊,一般为三日出一期),用了“唐湜”“扬和”“迪文”“秧河”等笔名发表作品,在同一版面使用两个的比较常见,也不止一次同时用三个笔名(如1948年8月16日、23日等)。
[31]丁国成、于丛、于胜:《中国作家笔名探源 第1册》,时代文艺出版社1986年版,第14~15页。
[32]巴波:《天山·地下·人间》,《光明日报四十年》编辑小组编《光明日报四十年(1949—1989)》,光明日报出版社1989年版,第46、54~55页。
[33]彭燕郊:《彭燕郊自撰年谱二种》,见陈思和、王德威主编《史料与阐释(贰零壹壹卷合刊本)》,第386页。
[34]《最初的新中国的旗》发表后即收入青勃、方健编《中国的十月》,大众书店1949年10月版。
[35]《音乐会三章》为中苏友好协会总会编《苏联文化工作者代表团在中国一月》(新华书店,1950年2月)所载萧三的《向苏联文化工作者学习——陪同苏联文化工作者代表团在中国五星期志感》一文引述;此文亦刊载于《人民文学》1950年4月号。
[36]散文诗集《浪子》原名《敲土者》,但该书名以及钟敬文的序言未通过审查,序言后以《今天的文学与青年——序一位青年作家的散文集》为题,刊载于《文艺生活》光复版第5期,1946年5月,署静君;现题作《今天的文学和青年——序彭燕郊的散文集〈敲土者〉》,可见于《钟敬文文集·诗学及文艺论卷》(安徽教育出版社2002年版)等处。
[37]钟敬文后有诗《喜燕郊北来》(1977),其中有句:“了了城西梦,沉沉劫后身。相期完胜业,万里骋飞轮。”所谓“城西梦”指“建国之初,燕郊与我住北京石驸马大街,共编辑《民间文艺》周刊”;“胜业”“指关于民间文学的编集和研究”。见《钟敬文文集·诗词卷》,安徽教育出版社2002年版,第192页。
[38]晓风辑校:《胡风日记(1938.9.29—1941.4.27)》,陈思和、王德威主编《史料与阐释·第六期》,复旦大学出版社2019年版,第170页。
[39]如1940年2月底彭柏山致胡风的信,见《彭柏山文选》,上海文艺出版社2003年版,第367页。
[40]本小节所引彭燕郊的《我的笔名》,见董宁文主编《我的笔名》,第141页。
[41]陈耀球即曾表示“被‘陈思勤’三个字蒙住了,认不出作者”,见易彬、陈以敏整理注释《彭燕郊陈耀球往来书信集》,百花洲文艺出版社2020年版,第203页。
[42]彭燕郊:《我的笔名》,董宁文主编《我的笔名》,第141页。按,白居易诗出自《送客之湖南》,通行本作“山鬼趫跳唯一足”,见白居易著,丁如明、聂世美校点《白居易全集》,上海古籍出版社1999年版,第226页。
|